Lompat ke konten Lompat ke sidebar Lompat ke footer
close

Intr-O Urna Sunt 11 Bile Negre Si 18 Bile Albe

Intr-O Urna Sunt 11 Bile Negre Si 18 Bile Albe

În cazul nostru numărul de cazuri favorabile este reprezentat de numărul total al bilelor negre. Se scot din urna 15 albe si se adauga 9 negre, iar numarul bilelor.

Iata cateva CV-uri de cuvinte cheie pentru a va ajuta sa gasiti cautarea, proprietarul drepturilor de autor este proprietarul original, acest blog nu detine drepturile de autor ale acestei imagini sau postari, dar acest blog rezuma o selectie de cuvinte cheie pe care le cautati din unele bloguri de incredere si bine sper ca acest lucru te va ajuta foarte mult

Care este cel mai mic numar de bile pe care trebuie sa il extragem din urna. Probabilitatea ca bila extrasa sa fie neagra este egala cu. Probabilitatea ca bila extrasa sa fie.

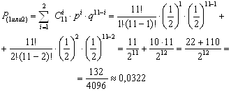
Elemente De Probabilități și Statistică Clasa 8 Quiz Quizizz
vizitati articolul complet aici : https://quizizz.com/admin/quiz/5eaffa74276072001bd5a2cf/elemente-de-probabiliti-i-statistic-clasa-8
Cate 7 din fiecare culoare. În cazul nostru numărul de cazuri favorabile este reprezentat de numărul total al bilelor negre. Nr cazurilor posibile=11+18=29 nr cazurilor favorabile=11 (exista 11 bile negre).

Cate bile albe si cate negre au fost in urna.?

11 / 27 adunam bilele intre ele : 11+18=27(bile in total) daca sunt 11 bile negre si sunt 27 bile in total, probabilitatea ca bila extrasa sa fie. Probabilitatea= se pune o linie de fractie cam asa ceva :

Probabilitatea ca bila extrasa sa fie. O poziţie diametral opusă este vociferată de către majoritatea parlamentară, cea care a învestit guvernul filip. Hai să ţi'o spun mai cazurile posibile sunt toate, adică aduni cele două (sau câte sunt) tipuri de bile, fiindcă ele sunt amestecate în urnă.

Curs Probabilitati
vizitati articolul complet aici : https://www.yumpu.com/ro/document/view/56555042/curs-probabilitati
Din urna se extrage o bila alba si se introduce o bila neagra apoi , se extrage o alta bila alba si se introduc doua bile negre , urmand ca la urmatoarea extragere. Hey care a fost primul roman care a fost in spatiu. Hai să ţi'o spun mai cazurile posibile sunt toate, adică aduni cele două (sau câte sunt) tipuri de bile, fiindcă ele sunt amestecate în urnă.

12+20+18=50 12 bile rosi probabilitatea de a extrage o bila rosie este 1250.

Probabilitatea ca bila extrasa sa fie albastra este.? 45% la 100% deoarece bile albe sint mai multe probabilitatea ca va cadea bila alba este mai mare. 11 (pentru ca avem 11 bile negre, iar noi vrem sa extragem o bila neagra).

Care este cel mai mic numar de bile pe care trebuie sa il extragem din urna. Care comportament al dreptului de proprietate sunt relevate de proprietatea asupra unei case, vânzarea propriului automobil, inchiriererea unei locuin. Cele albe sunt de 3 ori mai multe decat cele negre.

Probabilitati
vizitati articolul complet aici : https://pdfslide.net/documents/probabilitati-5671bf6ed796b.html
Cele albe sunt de 3 ori mai multe decat cele negre. Care comportament al dreptului de proprietate sunt relevate de proprietatea asupra unei case, vânzarea propriului automobil, inchiriererea unei locuin. Nr cazurilor posibile=11+18=29 nr cazurilor favorabile=11 (exista 11 bile negre).

Se extrag succesiv 3 bile (fără întoarcerea bilei extrase).

12+20+18=50 12 bile rosi probabilitatea de a extrage o bila rosie este 1250. Probabilitatea ca bila extrasă să fie neagră este egală cu. Probabilitatea ca bila extrasă să fie neagră este egală cu ….

Posting Komentar untuk "Intr-O Urna Sunt 11 Bile Negre Si 18 Bile Albe"